[10000印刷√] y=tan^-1(2x/1-x^2) find nth derivative 238020-Derivative of tan y
Web The derivatives of inverse functions calculator uses the below mentioned formula to find derivatives of a function The derivative formula is d y d x = lim Δ x → 0 f (Web In this question the derivatives given are incorrect starting with the third (your fourth) Also the accepted answer could be worked forward a little, so we provide anotherWebFind the nth derivatives of tan^1(2x/1x^2) Ask questions, doubts, problems and we will help you Then tan^1 ( tan2t)= 2t = 2 tan^1(x ) = then do differentiation of it then answer=
Find The Derivative Of X Tan 1 X With Respect To X
Derivative of tan y
Derivative of tan y-WebSolution Verified by Toppr Correct option is B) y= (x−a)(xa)1 = 2a1 (x−a1 − xa1) dxdy= 2a1 ((x−a) 2−1 −(− (xa) 21)) dx 2d 2y= 2a1 ((x−a) 32!Web Find the nth derivative of tan^1 1x^2 1 / 2252 MPBharathi MPBharathi Math Secondary School answered Find the nth derivative of tan^1 1x^2 1 /



If Y Tan 1 1 1 X X 2 Tan 1 1 X 2 3x 3 Tan 1 1 X 2 5x 7 Upto N Terms Then Fin Youtube
Web Welcome to Sarthaks eConnect A unique platform where students can interact with teachers/experts/students to get solutions to their queries Students (upto class 102)WebThis problem has been solved!WebPlease Subscribe here, thank you!!!
WebThe Derivative Calculator supports computing first, second, , fifth derivatives as well as differentiating functions with many variables (partial derivatives), implicit differentiationWeb If #y = tanh^(1)((2x)/(1x^2))# then show that the second derivative is #(4x)/(1 x^2)^2#?Calculus Differentiating Trigonometric Functions Differentiating Inverse
//googl/JQ8NysFormula for the nth Derivative of f(x) = 1/xWebFree derivative calculator differentiate functions with all the steps Type in any function derivative to get the solution, steps and graphWebGet the free "nth Derivative Calculator" widget for your website, blog, Wordpress, Blogger, or iGoogle Find more Mathematics widgets in WolframAlpha



Compute The N Th Derivative Of A Function New In Wolfram Language 12



If Y Tan 1 2x 1 X 2 Then Prove That Dy Dx 2 1 X 2
Web Explanation You can differentiate a function y = tan−1(x2) by using implicit differentiation So, if you have a function y = tan−1(x2), then you know that you can writeWebIf y = tan^1 ( 2x/1 x^2 ) , then find dy/dx Question If y=tan −1(1−x 22x), then find dxdy Easy Solution Verified by Toppr Let x=tanθ ⇒y=tan −11−tan 2θ2tanθ y=tan −1(tan2θ)You'll get a detailed solution from a subject matter expert that helps you learn core concepts See Answer Find the derivative of the function y = (tan −1



Find The Differential Coefficient Of Tan 1x With Respect To X Sarthaks Econnect Largest Online Education Community



If Cot 1 Cos Alpha Tan 1 Cos Alpha X Then Sin X Is
WebThis rotating speed, or angular frequency, can be described by the derivative of the arctangens There are two factors that determine the angular frequency of an objectWebA Function y=(tan1(8x)2 To find the derivative of the given function Q Find the derivative of the function f(x) = 2 tan (e11x) f'(x)=D A We have to use Chain rule of differentiation−((xa) 32!)) dx 3d 3y= 2a−1((x−a) 43!



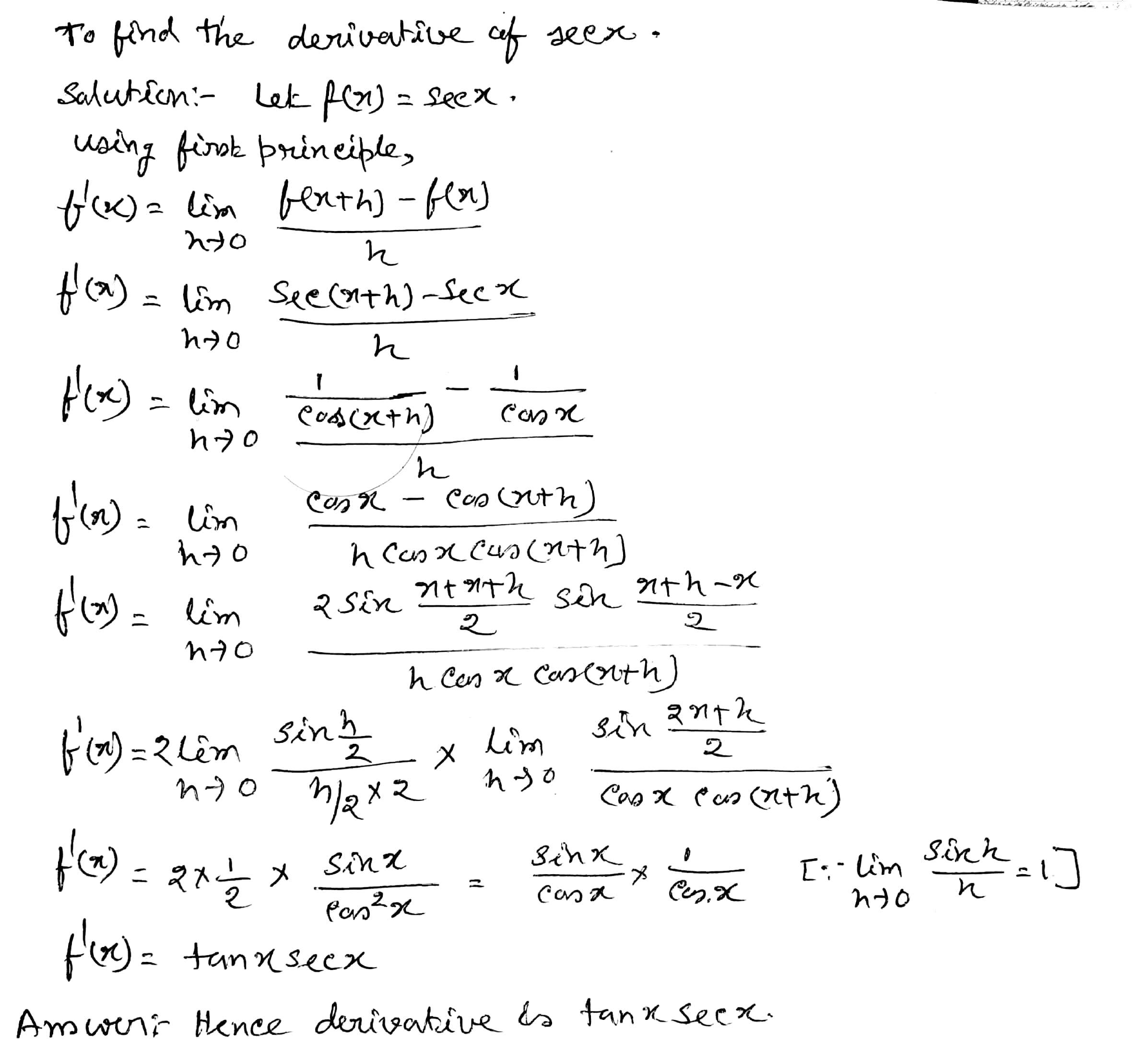
Krayonnz What Is The Nth Derivative Of Sec X



Nth Derivative Of X 2 Tan 1x In Hindi X 2 Tan Inverse X Leibnitz Theorem Solved Examples Youtube
Web The derivative of tan^1x is 1/(1x^2) (for "why", see note below) So, applying the chain rule, we get d/dx(tan^1u) = 1/(1u^2)*(du)/dx In this question u = 2x, so we getWebThe derivative of tan x is sec 2x Now, if u = f(x) is a function of x, then by using the chain rule, we have Differentiation Interactive Applet trigonometric functions In words, we



Answered If Y Sin X And Yn Means Nth Bartleby



Ipe Material Notes



Math Wsu Edu



If Y Tan 1 1 1 X X 2 Tan 1 1 X 2 3x 3 Tan 1 1 X 2 5x 7 Upto N Terms Then Fin Youtube



Ex 5 7 17 If Y Tan 1 X 2 Show X2 1 Y2 2x X2 1



2



Ipe Material Notes



If Y Tan 1 X A Find Y2



Doc Worksheet1 1 Mary Parmar Academia Edu



Solved 11 Find The Derivative Of 1 Secx A Y Tan X B Y Chegg Com



Ex 5 3 9 Find Dy Dx In Y Sin 1 2x 1 2x2 Chapter 5



Derivative Wikipedia



If Cot 1 Cos Alpha Tan 1 Cos Alpha X Then Sin X Is



If Y Tan 1 2x 1 X 2 Then Prove That Dy Dx 2 1 X 2



Q Tbn And9gcry5 Mowswifjb6nlseu0wrmxbp4 Hblbfefcmbundkxbzcrzugmkrj Usqp Cau



What Is The Nth Derivative Of Tan 1 X Quora



The Derivative Of Tan 1 Sqrt 1 X 2 1 X W R T Tan 1x Is Youtube



Nth Derivative Of 1 X 2 A 2 Youtube



Calculus Find An Expression For The N Th Derivative Of F X E X 2 Mathematics Stack Exchange



Find The N Th Derivative Of The Following Y E Ax Cos Bx C



Ipe Material Notes



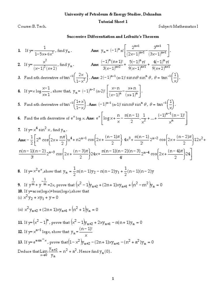
Successive Differentiation And Leibnitz S Theorem Pdf Logic Functions And Mappings



1 Find The Nth Derivative Of The E 2x Cos 2 X Brainly In



Ipe Material Notes



Gfgc Kar Nic In



Successive Differentiation Part I Nth Derivative Of Algebraic Functions Pdf Derivative Mathematical Proof



Differential Calculus I



What Is The Nth Derivative Of Sin Inverse 2x 1 X 2 Quora



Ex 5 3 13 Find Dy Dx In Y Cos 1 2x 1 X2 Ncert Ex 5 3



Unit 6 Higher Order Derivatives Unit 6 Higher Order Derivatives Structure 6 Introduction Studocu



Ex 5 7 17 If Y Tan 1 X 2 Show X2 1 Y2 2x X2 1



Answered Dtant X V X Xy 4 Xv Al 4 2xytx 4 Bartleby



Lf Y 1 X 2 A 2 Then Yn Where Yn Denotes The N Th Derivative Of Y W R T X



The Differential Coefficient Of Tan 1 2x 1 X 2 With Respect To Sin 1 2x 1 X 2 Is Sarthaks Econnect Largest Online Education Community



Ppt Differential Calculus Powerpoint Presentation Free Download Id



Ipe Material Notes



Find The Nth Derivative Of Tan Inverse X Upon A Brainly In



If Y Tan 1x Prove That Yn 1 N 1 Sin N 𝞹 2 Y Sin N 𝞹 2 Y Math Traders



If Y E Tan 1x Show That X 2 1 D 2y Dx 2 2x 1 Dy Dx 0 Sarthaks Econnect Largest Online Education Community



Showimage Php Formula Fff8dd2fc4e92f7ccaeeb51a1f7f62db Png D 0



Bsc Computer Science Discrete Mathematics Unit I



Ipe Material Notes



2



Differential Calculus Ppt Video Online Download



Nth Derivative Of X 2 Tan 1x In Hindi X 2 Tan Inverse X Leibnitz Theorem Solved Examples Youtube



Ex 5 3 9 Find Dy Dx In Y Sin 1 2x 1 2x2 Chapter 5



How To Differentiate Y Tan 1 2x 1 X 2 For The Inverse Trigonometric Function Quora



If Y Sin 1x 2 Then Show That 1 X 2 D 2ydx 2 X Dydx 2



If Y Cos 2xcos 3x Then Yn Is Equal To Where Yn Denotes The N Th Derivative Of Y



Differential Calculus Ppt Video Online Download



2



Find The Nth Derivative Of The Following Tan X A Brainly In



Solved S 8 Evaluate Tan X Da A Itt Tn 2 2 N 1 B T Chegg Com



Solved Find The Indicated Derivative Frac D 7 D U 7 Left E U U 2 Right



Engineering Maths Differential Calculus Mcq Ma8151 Engineering Mathematics Multiple Choice Studocu



Differential And Integral Calculus An Introductory Course For Colleges And Engineering Schools Y Ay O Af X Ay F X Ax Y Ay Is The Slope Of The Tangent To The Graph Of F Pc At



Mathematics Paper 2 Pdf Tangent Curvature



Q Tbn And9gcthzvcotdvwj9mrpc1jtzcbhlkalbaovhmggis Obkb9sg0l 0uizt Usqp Cau



What Is The Nth Derivative Of Tan Inverse Of X A Brainly In



Misc 23 If Y Ea Cos 1 X Show 1 X2 D2y Dx2 X Dy Dx



What Is The Nth Derivative Of Arctan 2x 1 X 2 In Terms Of R And Theta Quora



If Y Tan 1 2x 1 X 2 Then Prove That Dy Dx 2 1 X 2 Youtube



Ex 5 7 8 Find Second Order Derivatives Of Tan 1 X Ex 5 7



What Is The Nth Derivative Of Tan 1 2x 1 X 2 Quora



Sequences And Series Finding The Nth Derivative Of Functions In Particular Y Tan X Mathematics Stack Exchange



Derivative Of Sec 1 X Sec Inverse X Teachoo With Video



Ex 5 7 17 If Y Tan 1 X 2 Show X2 1 Y2 2x X2 1



What Is The Nth Derivative Of Tan 1 2x 1 X 2 Quora



Ipe Material Notes



What Is The Nth Derivative Of Math X 2 Ln 3 X Math Quora



Answered 1 For Each Of The Following Functions Bartleby



Bsc Computer Science Discrete Mathematics Unit I



Ma8151 Engg Ineering Mathematics I Mcq Pdf Sine Function Mathematics



2



Answered N Givan That F X Cos 2x Find F 34 Bartleby



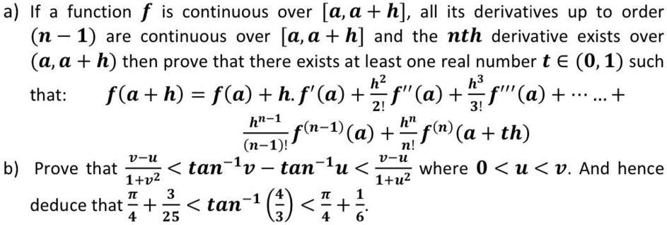
Solved A If A Function F Is Continuous Over A A H All Its Derivatives Up To Order N 1 Are Continuous Over A A H And The Nth Derivative Exists Over



How To Find The Nth Derivative Of Math Tan 1 X Math Quora



Find The Derivative Of X Tan 1 X With Respect To X



What Is The Nth Derivative Of 1 1 X 2 Quora



A Find The Nth Derivative Of Tan X Scholr



Assignment I Pdf Mathematical Relations Rates



How To Find The Nth Derivative Of 1 3 2x 3 Quora



Find The Nth Derivative Of Y Log 1 X Math Homework Answers



Lf Y X 2 1 N And Yn Denotes The N Th Derivative Of Y Then X 2 1 Yn 2 2xyn 1



If Y Tan 1 2x 1 X 2 Then Find Dy Dx



Q Tbn And9gcrrxrcyn2gjfxrdzz3ol8y7g3b4jz0vs4 Pyhdo7erpavdnmfcns92e Usqp Cau



Answered The Definition Of The Derivative Of A Bartleby



Find Nth Derivative Of X N E X



2



What Is The Nth Derivative Of Arctan 2x 1 X 2 In Terms Of R And Theta Quora



2



Find Nth Derivative Of Tan 1 2x 1 X2 Youtube



Nth Derivative Solved Examples In Hindi If Y Tan Inverse X Prove That Yn 1 N N 1 Mathematics Youtube



Find The Nth Derivative Of The Following Y E Ax Cos Bx C Sarthaks Econnect Largest Online Education Community



Q Tbn And9gcsvj 1xr2 Bzi8pxhrliopqmojmorumvk9v3dukl0op5re4m2ol74jc Usqp Cau



Bsc Computer Science Unit 1 Discrete Mathematics



Solved Find Yyy Andy Iv Ine First Second Third And Fourth Derivative Each Aiso Find Formula Ior The Nth Derivative Y N E Zx Sin 3x Type Your Answer Question 5 Apply The Chain Rule



Calculus N Th Derivative Of E Ax Sin Bx C Mathematics Stack Exchange
コメント
コメントを投稿